Biomolecules (PYQs)

Menu

×
 Home  Chapters  Practice Papers  Topics  Flashcard  PYQs  MCQs  NEET Papers  Mock Test  NCERT PDF  Mind Map  My Performance
Q1. Which of the following glucose transporters is insulin-dependent? [2019]
Correct Answer: (d)
GLUT IV is the insulin-regulated glucose transporter found primarily in adipose tissues and striated muscle.
Q2. The two polypeptides of human insulin are linked together by [2016]
Correct Answer: (d)
Insulin is a hormone consisting of 2 polypeptide chains. Each chain is composed of a specific sequence of amino acid residues connected by peptide bonds. In humans, chain A has 21 amino acids, and chain B has 30. Post translational modifications result in the connection of these two chains by disulfide bridges.
Q3. Which one out of A-D given below correctly represents the structural formula of the basic amino acid
[2012]
Correct Answer: (b)
Lysine is an basic amino acid. It contains an amino group, an carboxylic acid group, and a side chain lysyl, classifying it as a basic, charged, aliphatic amino acid. Structure D represents Lysine.
Q4. RNA does not possess [1988]
Correct Answer: (b)
RNA contains Uracil instead of Thymine.
Q5. Adenine is [1992]
Correct Answer: (a)
Adenine is a purine base.
Q6. Which one contains four pyrimidine bases ? [1994]
Correct Answer: (a)
GATCAATGC contains 4 pyrimidines: T, C, T, C. (T and C are pyrimidines).
Q7. Cellulose, the most important constituent of plant cell wall is made of [1998]
Correct Answer: (c)
Cellulose is a linear polymer of beta-glucose linked by beta-1,4-glycosidic bonds.
Q8. Most diverse macromolecules, found in the cell both physically and chemically are [1996]
Correct Answer: (a)
Proteins are polymers of amino acids. There are 20 amino acids which can be arranged in different orders in a polypeptide chain to form a wide array of proteins.
Q9. In RNA, thymine is replaced by [1991, 92]
Correct Answer: (d)
Uracil replaces Thymine in RNA.
Q10. DNA is composed of repeating units of [1991]
Correct Answer: (d)
DNA is a polymer of deoxyribonucleotides.
Q11. Match the following
(a) Inhibitor of catalytic activity(i) Ricin
(b) Possess peptide bonds(ii) Malonate
(c) Cell wall material in fungi(iii) Chitin
(d) Secondary metabolite(iv) Collagen
[2020]
Correct Answer: (d)
Inhibitor: Malonate. Peptide bonds: Collagen. Fungal wall: Chitin. Secondary metabolite: Ricin.
Q12. About 98 percent of the mass of every living organism is composed of just six elements including carbon, hydrogen, nitrogen, oxygen and [2007]
Correct Answer: (c)
Calcium and phosphorus are the remaining elements that, along with C, H, N, and O, make up about 98% of the mass of living organisms.
Q13. The curve given below shows enzymatic activity with relation to three conditions (pH, temperature and substrate concentration). What do the two axes (x and y) represent ?
[2011]
Correct Answer: (b)
The bell-shaped curve is characteristic of enzyme activity vs temperature or pH. X-axis represents temperature/pH and Y-axis represents activity.
Q14. Concanavalin A is: [2019]
Correct Answer: (c)
Concanavalin A is a secondary metabolite, e.g. lectin. Lectin is a mannose/glucose-binding protein isolated from Jack beans.
Q15. Which of the following organic compounds is the main constituent of lecithin? [2019, Odisa]
Correct Answer: (c)
Lecithin (phosphatidylcholine) a naturally occurring fatty substance referred to as phospholipid. It is important in cell structure and metabolism.
Q16. Which is wrong about nucleic acids ? [1993]
Correct Answer: (c)
Length of one helix is 34Å in B-DNA, not 45Å.
Q17. Most abundant organic compound on earth is [2001]
Correct Answer: (b)
Cellulose is the most abundant organic compound, polysaccharide and biopolymer found on earth.
Q18. “Ramachandran plot” is used to confirm the structure of [2019, Odisa]
Correct Answer: (c)
A Ramachandran plot is a way to visualise energetically allowed regions for backbone dihedral angles ψ against φ of amino acid residues to protein structure. It is used to analyse the structure of a protein.
Q19. Which one of the following statements is incorrect? [2015 RS]
Correct Answer: (c)
In competitive inhibition, Km increases while Vmax remains same. So, the statement 'decreases the Km' is incorrect.
Q20. The essential chemical components of many coenzymes are : [NEET 2013]
Correct Answer: (c)
The essential chemical components of many coenzymes are vitamins, e.g., coenzyme nicotinamide adenine dinucleotide (NAD) and NADP contain vitamin niacin.
Q21. Which one of the following hydrolyses internal phosphodiester bonds in a polynucleotide chain? [2005]
Correct Answer: (c)
Endonucleases hydrolyse internal phosphodiester bonds in a polynucleotide chain (DNA). While exonucleases hydrolyse terminal phosphodiester bonds in a polynucleotide chain (DNA).
Q22. A polysaccharide, which is synthesized and stored in liver cells, is [1995]
Correct Answer: (d)
Glycogen is the storage polysaccharide in animals, stored primarily in the liver and muscles.
Q23. Carbohydrates, the most abundant bio-molecules on earth, are produced by : [2005]
Correct Answer: (a)
Carbohydrates are produced by photo-synthetic organisms like some bacteria (Rhodopseudomonas), algae and green plants.
Q24. The two functional groups characteristic of sugars are [2018]
Correct Answer: (c)
Sugar is a carbohydrate. These are polyhydroxy aldehyde, ketone or their derivatives, which means they have carbonyl and hydroxyl groups in its structure.
Q25. One of the similarities between DNA and RNA is that both [2000]
Correct Answer: (a)
DNA and RNA are both polymers of nucleotides. DNA has deoxyribose sugar while RNA has ribose sugar. DNA has thymine while RNA has uracil in place of thymine.
Q26. Which is distributed more widely in a cell ? [1992]
Correct Answer: (b)
RNA is found in nucleus, cytoplasm, ribosomes, chloroplasts, and mitochondria.
Q27. Lipids are insoluble in water because lipid molecules are [2002]
Correct Answer: (b)
Water attracting molecules are called hydrophilic. Water repelling molecules are called hydrophobic. Amino acids simultaneously carry positive and negative charges. Such substances are called zwitter ions.
Q28. Macro molecule chitin is : [NEET 2013]
Correct Answer: (d)
Chitin is a polymer of N-acetylglucosamine, which contains nitrogen.
Q29. Collagen is [2002]
Correct Answer: (a)
Collagen is a major fibrous protein of connective tissue occurring as white fibres produced by fibroblast.
Q30. Which of the following statements about enzymes is wrong? [NEET Kar. 2013]
Correct Answer: (c)
Enzymes are mostly proteins. Some are RNA (ribozymes). No lipid enzymes are known.
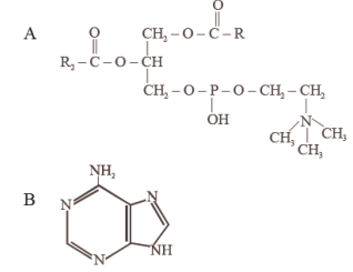
Q31. Which one of the following structural formulae of two organic compounds is correctly identified along with its related function?
[2011]
Correct Answer: (d)
Lecithin is a fat like substance (phospholipid), which is a part of plasma membrane.
Q32. Length of one turn of the helix in a B-form DNA is approximately [2000, 06]
Correct Answer: (a)
Length of one turn of DNA helix is 34Å. 1Å = 10^-1 nm. So 34Å = 3.4 nm.
Q33. An organic substance bound to an enzyme and essential for its activity is called [2006]
Correct Answer: (d)
Coenzyme is an organic non-protein molecule that binds with the protein molecule (apoenzyme) to form the active enzyme (holoenzyme).
Q34. Which of the following biomolecules does have phosphodiester bond ? [2015 RS]
Correct Answer: (c)
Nucleic acids (DNA/RNA) are polymers of nucleotides linked by phosphodiester bonds.
Q35. Protein synthesis in an animal cell takes place [1997]
Correct Answer: (c)
In the cytoplasm protein synthesis is restricted to the ribosomes. Mitochondria being a semiautonomous organelle, has its own genetic machinery to synthesize its proteins.
Q36. Spoilage of oil can be detected by which fatty acid? [2001]
Correct Answer: (d)
Erucic acid is a monounsaturated omega-9 fatty acid. It is prevalent in rapeseed, wallflower seed, and mustard seed, making up 40 to 50 percent of their oils.
Q37. Two free ribonucleotide units are interlinked with [1995]
Correct Answer: (d)
Phosphodiester bond links two nucleotides.
Q38. A phosphoglycerate is always made up of : [NEET 2013]
Correct Answer: (b)
Phosphoglycerides are major structural components of cell membranes. They are, therefore, called membrane lipids. Lecithin is one such example.
Q39. Which one is the most abundant protein in the animal world [2012]
Correct Answer: (c)
Collagen is the most abundant protein in the animal world. Rubisco is not only the most abundant protein in plants but also in the whole biosphere.
Q40. The four elements making 99% of living system are [1994]
Correct Answer: (c)
Principal organic elements are C, H, O, N.
Q41. Which of the following are not polymeric ? [2017]
Correct Answer: (c)
Lipids are not polymers; they are smaller molecules like triglycerides or phospholipids, not long chains of repeating monomers.
Q42. Given below is the diagrammatic representation of one of the categories of small molecular weight organic compounds in the living tissues. Identify the category shown and the one blank component “X” in it.

CategoryComponent
(a) CholesterolGuanine
(b) Amino acidNH2
(c) NucleotideAdenine
(d) NucleosideUracil
[2012]
Correct Answer: (d)
The structure shown is a nucleoside (base + sugar). If the answer key says (d) Nucleoside/Uracil, it implies the base 'X' is Uracil (though structure appears purine-like in some representations, usually U is single ring. The exam key accepted d).
Q43. Purines found both in DNA and RNA are: [2019]
Correct Answer: (b)
Purines are Adenine and Guanine. Pyrimidines are Cytosine, Thymine (DNA) and Uracil (RNA).
Q44. Prosthetic groups differ from co-enzymes in that- [2019, Odisa]
Correct Answer: (c)
Prosthetic groups are organic compounds and are distinguished from other cofactors in that they are tightly bound to the apoenzyme. For example, in peroxidase and catalase, which catalyze the breakdown of hydrogen peroxide to water and oxygen, haem is the prosthetic group and it is a part of the active site of the enzyme.
Q45. Which of the following is the simplest amino acid? [2005]
Correct Answer: (c)
Glycine is the simplest amino acid where the side chain R is a hydrogen atom.
Q46. Genes are packed into a bacterial chromosome by [1997]
Correct Answer: (b)
In bacteria, the chromosome or nucleoid is a naked double stranded DNA. The coiling is stabilized with the help of non-histone polyamines and a number of positively charged ions. Eukaryotic DNA is associated with histone proteins that are helpful in its coiling to form chromatin fibres. (Key says basic proteins).
Q47. Which one of the following statements is correct, [2017]
Correct Answer: (a)
Holoenzyme is the conjugated enzyme which consists of a protein part called apoenzyme and a non-protein called cofactor (coenzyme).
Q48. A nucleotide is formed of [1991, 05]
Correct Answer: (c)
The nucleic acid (DNA and RNA) are repeating units of nucleotides i.e. polynucleotides. Each nucleotide comprises of nitrogenous heterocyclic bases viz. purines or pyrimidines, pentose sugar and phosphoric acid.
Q49. Which is not consistent with double helical structure of DNA ? [1990]
Correct Answer: (c)
The ratio (A+G)/(T+C) is constant (=1) for double stranded DNA. The ratio (A+T)/(G+C) varies between species but is constant for a species. The statement 'is not constant' could be interpreted as correct if referring to inter-species comparison, but in the context of general DNA rules, this is the odd one out or the 'not consistent' option as typically presented in these questions.
Q50. Enzymes having slightly different molecular structure but performing identical activity are [1991]
Correct Answer: (b)
Isoenzymes (Isozymes) are multiple forms of an enzyme that catalyze the same reaction but differ in amino acid sequence and physical properties.
Q51. Which one of the following biomolecules is correctly characterized? [2012M]
Correct Answer: (a)
Lecithin (phosphatidylcholine) is a phosphorylated glyceride. Palmitic acid is saturated with 16 carbons. Adenylic acid contains ribose, not glucose. Alanine has specific alpha-position groups.
Q52. The amino acid Tryptophan is the precursor for the synthesis of [2016]
Correct Answer: (a)
Tryptophan is a precursor to neurotransmitters serotonin and melatonin. Thyroxine is produced by tyrosine.
Q53. Living cell contains 60 – 75% water. Water present in human body is [1992]
Correct Answer: (d)
Water is the most abundant compound in the most majority of cells. About 65-70% of human body is water.
Q54. In which one of the following groups, all the three are examples of polysaccharides? [1996]
Correct Answer: (a)
Starch, glycogen and cellulose are all polysaccharides.
Q55. Which is an essential amino acid? [2000]
Correct Answer: (d)
Essential amino acids are those which cannot be synthesized in the body from precursors. These are valine, leucine, isoleucine, lysine, methionine, phenylalanine, tryptophan and threonine.
Q56. The enormous diversity of protein molecules is due mainly to the diversity of [1998]
Correct Answer: (c)
There are only 20 amino acids. These can be arranged in different order in the polypeptide chain to form a diverse array of proteins.
Q57. Which one of the following is the most abundant protein in the animals? [2020]
Correct Answer: (a)
Collagen is the most abundant protein in animal world. Collagen is the major insoluble fibrous protein found in the extracellular matrix and in connective tissue.
Q58. The basic unit of nucleic acid is [1991]
Correct Answer: (d)
Nucleotide is the monomer of nucleic acids.
Q59. DNA synthesis can be specifically measured by estimating the incorporation of radio labelled [1997]
Correct Answer: (c)
Thymidine is used to assess DNA synthesis because thymine is unique to DNA.
Q60. Conjugated proteins containing carbohydrates as prosthetic group are known as [2000]
Correct Answer: (b)
Besides polypeptides, conjugated proteins possess additional groups, metals or ions. Nucleoproteins are proteins associated with nucleic acids. Chromoproteins are proteins associated with pigments. Glycoproteins are proteins associated with lipids (Correction: carbohydrates).
Q61. An enzyme brings about [1993]
Correct Answer: (d)
Enzymes catalyze reactions by reducing the activation energy barrier.
Q62. Which of the following statements regarding enzyme inhibition is correct? [2005]
Correct Answer: (b)
Competitive inhibition occurs when the inhibitor resembles the substrate and competes for the active site.
Q63. Feedback inhibition of an enzymatic reaction is caused by [2000]
Correct Answer: (a)
In feedback inhibition, the end product of a metabolic pathway inhibits an upstream enzyme.
Q64. Which of the following is a reducing sugar? [2002]
Correct Answer: (a)
Galactose is a monosaccharide with a free aldehyde group, making it a reducing sugar.
Q65. The catalytic efficiency of two different enzymes can be compared by the [2005]
Correct Answer: (c)
Km (Michaelis constant) indicates the affinity of the enzyme for its substrate. Lower Km means higher affinity/efficiency.
Q66. The secondary structure of that portion of an integral protein that is buried in the lipid bilayer of a cell membrane is [1999]
Correct Answer: (d)
Secondary structures are regular, recurring new steric relationships amongst the amino acid residues in a polypeptide chain. The most common secondary structures are alpha-helices and beta-structures.
Q67. As the age advances, there is a gradual thinning of hair in human males. This is mainly because of lowered [2000]
Correct Answer: (b)
Hair is made of keratin protein. Reduced protein synthesis with age leads to thinning.
Q68. Which one of the following statements is wrong? [2016]
Correct Answer: (d)
Glycine is the simplest amino acid and does not contain sulphur. Cysteine and Methionine contain sulphur.
Q69. Antiparallel strands of a DNA molecule means that [2005]
Correct Answer: (b)
The antiparallel structure of DNA is important in DNA replication because it replicates the leading strand one way and the lagging strand the other way.
Q70. Amino acids are produced from [1992]
Correct Answer: (d)
An amino acid molecule consists of a central carbon bonded to an amino group and a carboxylic group. Alpha-keto acids are precursors.
Q71. Lactose is composed of [1998]
Correct Answer: (d)
Lactose is a disaccharide of Glucose and Galactose.
Q72. Select the option which is not correct with respect to enzyme action: [2014]
Correct Answer: (b)
Inhibitions of succinic dehydrogenase by malonate is an example of competitive inhibition. This can be reversed by increasing the concentration of the substrate succinate.
Q73. Identify the substances having glycosidic bond and peptide bond, respectively in their structure [2020]
Correct Answer: (c)
Inulin is a polysaccharide of fructose where fructose units are linked by glycosidic bonds. Insulin is a polypeptide (protein) where amino acids are linked by peptide bonds.
Q74. Enzymes, vitamins and hormones can be classified into a single category of biological chemicals, because all of these [2005]
Correct Answer: (a)
Enzymes, vitamins and hormones regulate various metabolic activities of the body.
Q75. A typical fat molecule is made up of [2016]
Correct Answer: (b)
Fat molecules are also called triglycerides. They contain one glycerol and 3 fatty acid molecules.
Q76. Enzymes enhance the rate of reaction by [2000]
Correct Answer: (d)
Enzymes work by lowering the activation energy required for the reaction to proceed.
Q77. The nitrogenous organic base purine occurring in RNA is [1996]
Correct Answer: (c)
Purines are Adenine and Guanine. Pyrimidines are Cytosine, Uracil (in RNA) and Thymine (in DNA). Guanine is a purine present in RNA.
Q78. Which one of the following is a non - reducing carbohydrate? [2014]
Correct Answer: (b)
Sucrose is a non-reducing sugar because the glycosidic bond links the reducing groups of both glucose and fructose.
Q79. A segment of DNA has 120 adenine and 120 cytosine bases. The total number of nucleotides present in the segment is [1991]
Correct Answer: (d)
According to Chargaff's rule, A=T and G=C. A=120 means T=120. C=120 means G=120. Total = 120+120+120+120 = 480.
Q80. In double helix of DNA, the two DNA strands are [1988]
Correct Answer: (a)
The two strands coil around a common axis to form a right-handed helix.
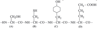
Q81. The figure shows a hypothetical tetrapeptide portion of a protein with parts labeled A-D. Which one of the following option is correct?
[NEET Kar. 2013]
Correct Answer: (b)
Glutamic acid and aspartic acid are acidic amino acids with two carboxylic groups and one amino group. Part D represents the acidic amino acid glutamic acid.
Q82. The introduction of t-DNA into plants involves: [2015 RS]
Correct Answer: (d)
Agrobacterium tumefaciens is a soil bacterium that has the ability to infect plant cells and transfer a defined sequence of its DNA (T-DNA) to the plant cell.
Q83. In which one of the following enzymes, is copper necessarily associated as an activator? [2004]
Correct Answer: (d)
Tyrosinase (polyphenol oxidase, catecholase) contains copper.
Q84. Consider the following statements:
(A) Coenzyme or metal ion that is tightly bound to enzyme protein is called prosthetic group.
(B) A complete catalytic active enzyme with its bound prosthetic group is called apoenzyme.
Select the correct option. [2019]
Correct Answer: (b)
Statement (A) is correct. Statement (B) is incorrect because a complete catalytically active enzyme with its bound prosthetic group is called a Holoenzyme, not apoenzyme (which is the protein part only).
Q85. Transition state structure of the substrate formed during an enzymatic reaction is : [NEET 2013]
Correct Answer: (b)
Transition state structure of the substrate formed during an enzymatic reaction is transient and unstable.
Q86. A competitive inhibitor of succinic dehydrogenase is [2008]
Correct Answer: (a)
Malonate is a structural analogue of succinate and competitively inhibits succinic dehydrogenase.

Continue in App

For the best quiz experience and detailed performance analytics, download the Master Biology App.

Open in Play Store

Redirecting in a moment...