NEET 2025 Biology Solved Paper

Menu

×
 Home  Chapters  Practice Papers  Topics  Flashcard  PYQs  MCQs  NEET Papers  Mock Test  NCERT PDF  Mind Map  My Performance
Q1. Match List-I with List-II:

List-IList-II
A. The Evil QuartetI. Cryopreservation
B. Ex situ conservationII. Alien species invasion
C. Lantana camaraIII. Causes of biodiversity losses
D. DodoIV. Extinction
Correct Answer: (b)
Evil Quartet (Biodiversity loss), Ex situ (Cryopreservation), Lantana (Alien species), Dodo (Extinction).
Q2. Match List-I with List-II:

List-IList-II
A. EmphysemaI. Rapid spasms in muscle due to low Ca++ in body fluid
B. Angina PectorisII. Damaged alveolar walls and decreased respiratory surface
C. GlomerulonephritisIII. Acute chest pain when not enough oxygen is reaching to heart muscle
D. TetanyIV. Inflammation of glomeruli of kidney
Correct Answer: (d)
Emphysema (II), Angina Pectoris (III), Glomerulonephritis (IV), Tetany (I).
Q3. Which factor is important for termination of transcription?
Correct Answer: (c)
Rho factor is responsible for the termination of transcription in prokaryotes.
Q4. Twins are born to a family that lives next door to you. The twins are a boy and a girl. Which of the following must be true?
Correct Answer: (b)
Boy/Girl twins must be dizygotic (fraternal). Monozygotic twins are genetically identical and always same sex.
Q5. The complex II of mitochondrial electron transport chain is also known as
Correct Answer: (b)
Complex II of the mitochondrial electron transport chain is also known as succinate dehydrogenase. It catalyzes the oxidation of succinate to fumarate.
Q6. Which of the following genetically engineered organisms was used by Eli Lilly to prepare human insulin?
Correct Answer: (a)
Eli Lilly used the bacterium *Escherichia coli* to produce human insulin chains.
Q7. Consider the following statements regarding function of adrenal medullary hormones:
A. It causes pupilary constriction
B. It is a hyperglycemic hormone
C. It causes piloerection
D. It increases strength of heart contraction
Correct Answer: (b)
Adrenaline causes pupil dilation (not constriction), hyperglycemia, piloerection, and increased heart contraction.
Q8. Given below are two statements:
Statement I: The DNA fragments extracted from gel electrophoresis can be used in construction of recombinant DNA.
Statement II: Smaller size DNA fragments are observed near anode while larger fragments are found near the wells in an agarose gel.
Correct Answer: (a)
Both statements are correct. DNA is negatively charged and moves to anode; smaller fragments move faster/further.
Q9. Read the following statements on plant growth and development.
A. Parthenocarpy can be induced by auxins.
B. Plant growth regulators can be involved in promotion as well as inhibition of growth.
C. Dedifferentiation is a pre-requisite for re-differentiation.
D. Abscisic acid is a plant growth promoter.
E. Apical dominance promotes the growth of lateral buds.
Correct Answer: (a)
D is false (ABA is inhibitor). E is false (Apical dominance inhibits lateral buds).
Q10. Which of the following enzyme(s) are NOT essential for gene cloning?
A. Restriction enzymes
B. DNA ligase
C. DNA mutase
D. DNA recombinase
E. DNA polymerase
Correct Answer: (a)
Gene cloning primarily requires restriction enzymes, ligase, and polymerase (for PCR/filling). Mutase and Recombinase are not standard essentials for basic cloning.
Q11. Role of the water vascular system in Echinoderms is:
A. Respiration and Locomotion
B. Excretion and Locomotion
C. Capture and transport of food
D. Digestion and Respiration
E. Digestion and Excretion
Correct Answer: (b)
Water vascular system helps in locomotion, capture/transport of food, and respiration.
Q12. Find the statement that is NOT correct with regard to the structure of monocot stem.
Correct Answer: (a)
In monocot stems, the hypodermis is sclerenchymatous, not parenchymatous.
Q13. In bryophytes, the gemmae help in which one of the following?
Correct Answer: (b)
Gemmae are asexual buds in liverworts (bryophytes).
Q14. Given below are the stages in the life cycle of pteridophytes. Arrange the following stages in the correct sequence.
A. Prothallus stage
B. Meiosis in spore mother cells
C. Fertilisation
D. Formation of archegonia and antheridia in gametophyte
E. Transfer of antherozoids to the archegonia in presence of water
Correct Answer: (a)
Sequence: Meiosis (B) -> Spores germinate to Prothallus (A) -> Sex organs form (D) -> Transfer of gametes (E) -> Fertilisation (C).
Q15. Which chromosome in the human genome has the highest number of genes?
Correct Answer: (c)
Chromosome 1 has the highest number of genes (2968).
Q16. Which of following organisms cannot fix nitrogen?
A. Azotobacter B. Oscillatoria C. Anabaena D. Volvox E. Nostoc
Correct Answer: (b)
Volvox is a colonial green alga and cannot fix nitrogen. Others are nitrogen fixers.
Q17. Histones are enriched with –
Correct Answer: (a)
Histones are basic proteins enriched with basic amino acids Lysine and Arginine.
Q18. The correct sequence of events in the life cycle of bryophytes is:
A. Fusion of antherozoid with egg.
B. Attachment of gametophyte to substratum.
C. Reduction division to produce haploid spores.
D. Formation of sporophyte.
E. Release of antherozoids into water.
Correct Answer: (c)
Sequence: Attachment (B) -> Gamete Release (E) -> Fertilisation/Fusion (A) -> Sporophyte Formation (D) -> Meiosis/Reduction (C).
Q19. Genes R and Y follow independent assortment. If RRYY produce round yellow seeds and rryy produce wrinkled green seeds, what will be the phenotypic ratio of the F2 generation?
Correct Answer: (c)
A dihybrid cross (RrYy x RrYy) yields a classic phenotypic ratio of 9:3:3:1.
Q20. Assertion (A): All vertebrates are chordates but all chordates are not vertebrate.
Reason (R): The members of subphylum vertebrata possess notochord during the embryonic period, the notochord is replaced by a cartilaginous or bony vertebral column in adults.
Correct Answer: (a)
The replacement of notochord by vertebral column is the specific feature that makes them vertebrates, explaining why they are a subset of chordates.
Q21. Epiphytes that are growing on a mango branch is an example of which of the following?
Correct Answer: (a)
This is Commensalism (+,0). The epiphyte benefits from support while the mango tree is unaffected.
Q22. After maturation, in primary lymphoid organs, the lymphocytes migrate for interaction with antigens to secondary lymphoid organ(s) / tissue(s) like:
A. Thymus B. Bone marrow C. Spleen D. Lymph nodes E. Peyer’s patches
Correct Answer: (d)
Spleen, Lymph nodes, and Peyer's patches are secondary lymphoid organs. Thymus and Bone marrow are primary.
Q23. Which of the following statement is correct about location of the male frog copulatory pad?
Correct Answer: (d)
Copulatory pads are found on the first digit of the forelimb of male frogs.
Q24. Neoplastic characteristics of cells refer to:
A. A mass of proliferating cell
B. Rapid growth of cells
C. Invasion and damage to the surrounding tissue
D. Those confined to original location
Correct Answer: (b)
Neoplastic (malignant) cells show rapid growth, invasion, and mass formation. Being confined (D) is a property of benign tumors.
Q25. Assertion (A): Both wind and water pollinated flowers are not very colourful and do not produce nectar.
Reason (R): The flowers produce enormous amount of pollen grains in wind and water pollinated flowers.
Correct Answer: (b)
Both are true. High pollen production increases chance of pollination (R), but lack of color/nectar is because they don't need to attract biotic pollinators, not directly explained by pollen quantity.
Q26. Statement I: In a floral formula ⊕ stands for zygomorphic nature of the flower, and G stands for inferior ovary.
Statement II: In a floral formula ⊕ stands for actinomorphic nature of the flower and G stands for superior ovary.
Correct Answer: (d)
Statement I is incorrect (⊕ is actinomorphic, not zygomorphic). Statement II is correct.
Q27. Which of the following is the unit of productivity of an Ecosystem?
Correct Answer: (d)
Productivity is a rate function, expressed as biomass/energy per unit area per unit time.
Q28. All living members of the class Cyclostomata are:
Correct Answer: (d)
Cyclostomes are ectoparasites on some fishes.
Q29. Which of the following statements about RuBisCO is true?
Correct Answer: (d)
RuBisCO catalyzes the carboxylation of RuBP during carbon fixation.
Q30. Which one of the following enzymes contains ‘Haem’ as the prosthetic group?
Correct Answer: (d)
Catalase (and peroxidase) contains Haem as a prosthetic group.
Q31. Match List-I with List-II:

List-IList-II
A. ProgesteroneI. Pars intermedia
B. RelaxinII. Ovary
C. Melanocyte stimulating hormoneIII. Adrenal Medulla
D. CatecholaminesIV. Corpus luteum
Correct Answer: (a)
Progesterone (Corpus luteum), Relaxin (Ovary), MSH (Pars intermedia), Catecholamines (Adrenal Medulla).
Q32. What is the main function of the spindle fibers during mitosis?
Correct Answer: (a)
Spindle fibers attach to kinetochores and pull sister chromatids apart.
Q33. Which are correct:
A. Computed tomography and magnetic resonance imaging detect cancers of internal organs.
B. Chemotherapeutics drugs are used to kill non-cancerous cells.
C. α-interferon activates the cancer patients’ immune system and helps in destroying the tumour.
D. Chemotherapeutic drugs are biological response modifiers.
E. In the case of leukaemia, blood cell counts are decreased.
Correct Answer: (d)
A and C are correct. B is wrong (kills cancer cells). D is wrong (alpha-interferon is the modifier). E is wrong (leukaemia involves increased WBC count).
Q34. While trying to find out the characteristic of a newly found animal, a researcher did the histology of adult animal and observed a cavity with presence of mesodermal tissue towards the body wall but no mesodermal tissue was observed towards the alimentary canal. What could be the possible coelome of that animal?
Correct Answer: (b)
This describes a Pseudocoelomate condition (scattered mesodermal pouches), characteristic of Aschelminthes.
Q35. Match List-I with List-II:

List-IList-II
A. Chlorophyll aI. Yellow-green
B. Chlorophyll bII. Yellow
C. XanthophyllsIII. Blue-green
D. CarotenoidsIV. Yellow to Yellow-orange
Correct Answer: (b)
Chl a (Blue-green), Chl b (Yellow-green), Xanthophylls (Yellow), Carotenoids (Yellow to Yellow-orange).
Q36. What are the potential drawbacks in adoption of the IVF method?
A. High fatality risk to mother
B. Expensive instruments and reagents
C. Husband/wife necessary for being donors
D. Less adoption of orphans
E. Not available in India
F. Possibility that the early embryo does not survive

Choose the correct answer from the options given below:
Correct Answer: (a)
Drawbacks include high costs (B), reduced rates of orphan adoption (D), and a significant possibility that the early embryo may not survive (F).
Q37. Sweet potato and potato represent a certain type of evolution. Select the correct combination of terms to explain the evolution.
Correct Answer: (a)
Sweet potato (root) and Potato (stem) have different origins but similar function (storage), representing Analogy and Convergent evolution.
Q38. In the above represented plasmid an alien piece of DNA is inserted at EcoRI site. Which of the following strategies will be chosen to select the recombinant colonies?

Plasmid Diagram
Correct Answer: (c)
Insertion at EcoRI site (within Beta-galactosidase gene) causes insertional inactivation. Recombinants appear white (no enzyme), non-recombinants appear blue.
Q39. Polymerase chain reaction (PCR) amplifies DNA following the equation.
Correct Answer: (b)
PCR amplifies DNA exponentially. In each cycle, the number of DNA molecules doubles, so after 'n' cycles, the number of DNA copies is 2ⁿ times the initial amount.
Q40. Match List-I with List-II:

List-IList-II
A. HeartI. Erythropoietin
B. KidneyII. Aldosterone
C. Gastro-intestinal tractIII. Atrial natriuretic factor
D. Adrenal CortexIV. Secretin
Correct Answer: (d)
Heart (ANF), Kidney (Erythropoietin), GI Tract (Secretin), Adrenal Cortex (Aldosterone).
Q41. Consider the following:
A. The reductive division for the human female gametogenesis starts earlier than that of the male gametogenesis.
B. The gap between the first meiotic division and the second meiotic division is much shorter for males compared to females.
C. The first polar body is associated with the formation of the primary oocyte.
D. Luteinizing Hormone (LH) surge leads to disintegration of the endometrium and onset of menstrual bleeding.
Correct Answer: (a)
A is true (fetal life vs puberty). B is true (no arrest in males). C is false (associated with secondary oocyte). D is false (Progesterone drop causes menses).
Q42. Given below are two statements:
Statement I: Transfer RNAs and ribosomal RNA do not interact with mRNA.
Statement II: RNA interference (RNAi) takes place in all eukaryotic organisms as a method of cellular defence.
Correct Answer: (d)
Statement I is incorrect (tRNA reads mRNA, rRNA forms ribosome core binding mRNA). Statement II is correct (RNAi is a defense mechanism in all eukaryotes).
Q43. Which one of the following equations represents the Verhulst-Pearl Logistic Growth of population?

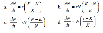
Logistic Growth Equations
Correct Answer: (b)
The correct equation for logistic growth is dN/dt = rN((K-N)/K).
Q44. Assertion (A): Cells of the tapetum possess dense cytoplasm and generally have more than one nucleus.
Reason (R): Presence of more than one nucleus in the tapetum increases the efficiency of nourishing the developing microspore mother cells.
Correct Answer: (a)
The multinucleate condition supports high metabolic activity required for nourishment.
Q45. Match List-I with List-II:

List-IList-II
A. Head(I) Enzymes
B. Middle piece(II) Sperm motility
C. Acrosome(III) Energy
D. Tail(IV) Genetic material
Correct Answer: (a)
Head (Genetic material), Middle piece (Energy/Mitochondria), Acrosome (Enzymes), Tail (Motility).
Q46. What is the name of the blood vessel that carries deoxygenated blood from the body to the heart in a frog?
Correct Answer: (d)
In frogs, the vena cava brings deoxygenated blood from various parts of the body to the right atrium of the heart.
Q47. Identify the statement that is NOT correct.
Correct Answer: (c)
Antigen binding sites are located at the N-terminal (Variable) region, not the C-terminal.
Q48. Name the class of enzyme that usually catalyze the following reaction:
S – G + S' → S + S' – G
Where, G → a group other than hydrogen
Correct Answer: (c)
Transferases catalyze the transfer of a functional group (G) from one substrate to another.
Q49. Which of the following hormones released from the pituitary is actually synthesized in the hypothalamus?
Correct Answer: (b)
ADH and Oxytocin are synthesized in the hypothalamus and stored/released by the posterior pituitary.
Q50. Which one of the following is an example of ex-situ conservation?
Correct Answer: (c)
Zoos and botanical gardens are ex-situ conservation methods where species are taken out of their natural habitat.
Q51. Who is known as the father of Ecology in India?
Correct Answer: (b)
Ramdeo Misra is revered as the Father of Ecology in India.
Q52. Frogs respire in water by skin and buccal cavity and on land by skin, buccal cavity and lungs.
Choose the correct answer from the following:
Correct Answer: (c)
In water, frogs respire via skin (cutaneous). On land, they use skin, buccal cavity, and lungs. The statement implies buccal respiration in water, which is generally not the primary mode compared to skin, thus the key marks it False for water.
Q53. In the seeds of cereals, the outer covering of endosperm separates the embryo by a protein-rich layer called:
Correct Answer: (d)
The aleurone layer is the protein-rich outer covering of the endosperm in cereals.
Q54. Assertion (A): A typical unfertilised, angiosperm embryo sac at maturity is 8 nucleate and 7-celled.
Reason (R): The egg apparatus has 2 polar nuclei.
Correct Answer: (c)
Assertion is true. Reason is false because the egg apparatus consists of 1 egg cell and 2 synergids; polar nuclei are in the central cell.
Q55. Given below are two statements:
Statement I: The primary source of energy in an ecosystem is solar energy.
Statement II: The rate of production of organic matter during photosynthesis in an ecosystem is called net primary productivity (NPP).
Correct Answer: (c)
Statement I is correct. Statement II is incorrect because the rate of production of organic matter during photosynthesis is Gross Primary Productivity (GPP), not NPP.
Q56. Arrange the following Kingdoms proposed by Whittaker in increasing order of complexity of body organization.
A. Multicellular heterotrophs with cell wall made of chitin.
B. Heterotrophs with tissue/organ/organ system level of body organization.
C. Prokaryotes with cell wall made of polysaccharides and amino acids.
D. Eukaryotic autotrophs with tissue/organ level of body organization.
E. Eukaryotes with cellular body organization.
Correct Answer: (b)
Order: Monera (C) -> Protista (E) -> Fungi (A) -> Plantae (D) -> Animalia (B).
Q57. Which of the following is an example of non-distilled alcoholic beverage produced by yeast?
Correct Answer: (c)
Beer and wine are produced without distillation. Whisky, brandy, and rum are distilled.
Q58. The blue and white selectable markers have been developed which differentiate recombinant colonies from non-recombinant colonies on the basis of their ability to produce colour in the presence of a chromogenic substrate.
Statement I: The blue coloured colonies have DNA insert in the plasmid and they are identified as recombinant colonies.
Statement II: The colonies without blue colour have DNA insert in the plasmid and are identified as recombinant colonies.
Correct Answer: (d)
Blue colonies are non-recombinant (functional enzyme). White colonies are recombinant (insertional inactivation).
Q59. Which one of the following phytohormones promotes nutrient mobilization which helps in the delay of leaf senescence in plants?
Correct Answer: (d)
Cytokinins promote nutrient mobilization, delaying leaf senescence.
Q60. Which of the following are the post-transcriptional events in an eukaryotic cell?
A. Transport of pre-mRNA to cytoplasm prior to splicing.
B. Removal of introns and joining of exons.
C. Addition of methyl group at 5’ end of hnRNA.
D. Addition of adenine residues at 3’ end of hnRNA.
E. Base pairing of two complementary RNAs.
Correct Answer: (b)
Post-transcriptional modifications include Splicing (B), Capping (C), and Tailing (D). Transport (A) happens after processing.
Q61. The protein portion of an enzyme is called:
Correct Answer: (c)
The apoenzyme is the protein part of a holoenzyme.
Q62. Which of the following microbes is NOT involved in the preparation of household products?
A. Aspergillus niger
B. Lactobacillus
C. Trichoderma polysporum
D. Saccharomyces cerevisiae
E. Propionibacterium sharmanii
Correct Answer: (b)
A (Citric acid - Industrial) and C (Cyclosporin A - Medical) are not household product microbes. B (Curd), D (Bread), E (Cheese) are.
Q63. Match List-I with List-II:

List-IList-II
A. CentromereI. Mitochondrion
B. CiliumII. Cell division
C. CristaeIII. Cell movement
D. Cell membraneIV. Phospholipid Bilayer
Correct Answer: (d)
Centromere (Cell division), Cilium (Movement), Cristae (Mitochondria), Cell membrane (Phospholipid Bilayer).
Q64. Assertion (A): The primary function of the Golgi apparatus is to package the materials made by the endoplasmic reticulum and deliver it to intracellular targets and outside the cell.
Reason (R): Vesicles containing materials made by the endoplasmic reticulum fuse with the cis face of the Golgi apparatus, and they are modified and released from the trans face of the Golgi apparatus.
Correct Answer: (b)
Both are true. The Reason describes the mechanism (process) rather than explaining the 'function' (purpose), although they are closely linked.
Q65. Which of the following diagrams is correct with regard to the proximal (P) and distal (D) tubule of the Nephron.

Nephron Diagram
Correct Answer: (b)
Diagram (b) correctly shows PCT reabsorbing HCO3-, NaCl, H2O and secreting H+; and DCT reabsorbing Na+, HCO3- and secreting K+, H+.
Q66. Match List-I with List-II:

List-IList-II
A. Alfred Hershey and Martha ChaseI. Streptococcus pneumoniae
B. EuchromatinII. Densely packed and dark stained
C. Frederick GriffithIII. Loosely packed and light stained
D. HeterochromatinIV. DNA as genetic material confirmation
Correct Answer: (c)
Hershey-Chase (DNA confirmation), Euchromatin (Loosely packed), Griffith (Streptococcus), Heterochromatin (Densely packed).
Q67. Which of the following type of immunity is present at the time of birth and is a non-specific type of defence in the human body?
Correct Answer: (b)
Innate immunity is non-specific and present at birth.
Q68. Which of the following is an example of a zygomorphic flower?
Correct Answer: (c)
Pea flowers are zygomorphic (bilateral symmetry). Others are actinomorphic.
Q69. The first menstruation is called:
Correct Answer: (b)
Menarche marks the onset of the first menstruation at puberty.
Q70. A specialised membranous structure in a prokaryotic cell which helps in cell wall formation, DNA replication and respiration is:
Correct Answer: (a)
Mesosomes are infoldings of the plasma membrane in prokaryotes serving these functions.
Q71. Silencing of specific mRNA is possible via RNAi because of –
Correct Answer: (a)
RNAi uses complementary double-stranded RNA (dsRNA) to bind and degrade target mRNA.
Q72. Match List I with List II:

List IList II
A. ScutellumI. Persistent nucellus
B. Non-albuminous seedII. Cotyledon of monocot seed
C. EpiblastIII. Groundnut
D. PerispermIV. Rudimentary cotyledon
Correct Answer: (a)
Scutellum (Monocot cotyledon), Non-albuminous (Groundnut), Epiblast (Rudimentary cotyledon), Perisperm (Persistent nucellus).
Q73. Given below are two statements:
Statement I: Fig fruit is a non-vegetarian fruit as it has enclosed fig wasps in it.
Statement II: Fig wasp and fig tree exhibit mutual relationship as fig wasp completes its life cycle in fig fruit and fig fruit gets pollinated by fig wasp.
Correct Answer: (b)
Statement I is scientifically incorrect (it's a fruit). Statement II contains a technical error (pollinates inflorescence, not fruit). Answer key gives (b).
Q74. With the help of given pedigree, find out the probability for the birth of a child having no disease and being a carrier (has the disease mutation in one allele of the gene) in F3 generation.

Pedigree Chart
Legend
Correct Answer: (a)
Pedigree shows X-linked recessive. F2 Carrier female (XnX) x Affected male (XnY). Offspring: XnX (Carrier), XnXn (Affected), XY (Normal), XnY (Affected). Probability of Carrier (XnX) is 1/4.
Q75. In frog, the Renal portal system is a special venous connection that acts to link:
Correct Answer: (d)
The renal portal system carries blood from the lower parts of the body to the kidneys.
Q76. Match List-I with List-II:

List-IList-II
A. AdenosineI. Nitrogen base
B. Adenylic acidII. Nucleotide
C. AdenineIII. Nucleoside
D. AlanineIV. Amino acid
Correct Answer: (c)
Adenosine (Nucleoside), Adenylic acid (Nucleotide), Adenine (Nitrogen base), Alanine (Amino acid).
Q77. Why can’t insulin be given orally to diabetic patients?
Correct Answer: (b)
Insulin is a protein and would be digested by proteolytic enzymes in the stomach/intestine.
Q78. Who proposed that the genetic code for amino acids should be made up of three nucleotides?
Correct Answer: (a)
Physicist George Gamow proposed the triplet nature of the genetic code.
Q79. Given below are two statements:
Statement I: In the RNA world, RNA is considered the first genetic material evolved to carry out essential life processes. RNA acts as a genetic material and also as a catalyst for some important biochemical reactions in living systems. Being reactive, RNA is unstable.
Statement II: DNA evolved from RNA and is a more stable genetic material. Its double helical strands being complementary, resist changes by evolving repairing mechanism.
Correct Answer: (a)
Both statements are correct. RNA was the first genetic material (RNA world hypothesis) but is unstable. DNA evolved as a more stable alternative.
Q80. Which one of the following is the characteristic feature of gymnosperms?
Correct Answer: (b)
Gymnosperms ('naked seed') have ovules not enclosed by an ovary wall.
Q81. From the statements given below choose the correct option:
A. The eukaryotic ribosomes are 80S and prokaryotic ribosomes are 70S.
B. Each ribosome has two sub-units.
C. The two sub-units of 80S ribosome are 60S and 40S while that of 70S are 50S and 30S.
D. The two sub-units of 80S ribosome are 60S and 20S and that of 70S are 50S and 20S.
E. The two sub-units of 80S are 60S and 30S and that of 70S are 50S and 30S.
Correct Answer: (a)
Eukaryotic ribosomes (80S) consist of 60S and 40S subunits. Prokaryotic ribosomes (70S) consist of 50S and 30S subunits.
Q82. Match List-I with List-II:

List-IList-II
A. PteridophyteI. Salvia
B. BryophyteII. Ginkgo
C. AngiospermIII. Polytrichum
D. GymnospermIV. Salvinia
Correct Answer: (b)
Pteridophyte (Salvinia), Bryophyte (Polytrichum), Angiosperm (Salvia), Gymnosperm (Ginkgo).
Q83. Streptokinase produced by bacterium Streptococcus is used for
Correct Answer: (d)
Streptokinase acts as a 'clot buster' for removing clots from blood vessels (myocardial infarction treatment).
Q84. Given below are two statements:
Statement I: In ecosystem, there is unidirectional flow of energy of sun from producers to consumers.
Statement II: Ecosystems are exempted from 2nd law of thermodynamics.
Correct Answer: (c)
Statement I is correct. Statement II is incorrect; ecosystems follow thermodynamic laws (energy is lost as heat).
Q85. Cardiac activities of the heart are regulated by:
A. Nodal tissue
B. A special neural centre in the medulla oblongata
C. Adrenal medullary hormones
D. Adrenal cortical hormones
Correct Answer: (a)
Cardiac activity is regulated by Nodal tissue (auto-regulated), Neural center in medulla (ANS), and Adrenal medullary hormones. Adrenal cortical hormones regulate metabolism/salts.
Q86. Identify the part of a bio-reactor which is used as a foam braker from the given figure.

Bioreactor
Correct Answer: (d)
Part C in the diagram represents the foam braker.
Q87. What is the pattern of inheritance for polygenic trait?
Correct Answer: (b)
Polygenic traits show continuous variation controlled by multiple genes, which is a Non-Mendelian pattern.
Q88. How many meiotic and mitotic divisions need to occur for the development of a mature female gametophyte from the megaspore mother cell in an angiosperm plant?
Correct Answer: (c)
1 Meiosis (MMC to Megaspore) + 3 Mitosis (Megaspore to 8-nucleate Embryo sac).
Q89. Which one of the following statements refers to Reductionist Biology?
Correct Answer: (a)
Reductionist biology refers to studying living organisms by breaking them down into smaller components (physico-chemical approach).
Q90. Find the correct statements:
A. In human pregnancy, the major organ systems are formed at the end of 12 weeks.
B. In human pregnancy, the major organ systems are formed at the end of 8 weeks.
C. In human pregnancy heart is formed after one month of gestation.
D. In human pregnancy, limbs and digits develop by the end of second month.
E. In human pregnancy the appearance of hair is usually observed in the fifth month.
Correct Answer: (d)
Statement B is incorrect (major organs formed by 12 weeks, not 8). All others are correct.

Continue in App

For the best quiz experience and detailed performance analytics, download the Master Biology App.

Open in Play Store

Redirecting in a moment...