NEET 2024 Biology Solved Paper

Menu

×
 Home  Chapters  Practice Papers  Topics  Flashcard  PYQs  MCQs  NEET Papers  Mock Test  NCERT PDF  Mind Map  My Performance
Q1. Spraying sugarcane crop with which of the following plant growth regulators, increases the length of stem, thus, increasing the yield ?
Correct Answer: (b)
Gibberellins increase the length of the stem in sugarcane.
Q2. The equation of Verhulst-Pearl logistic growth is
Formula
From this equation, K indicates :
Correct Answer: (c)
K represents Carrying Capacity.
Q3. Which one is the correct product of DNA dependent RNA polymerase to the given template ?
3'TACATGGCAAATATCCATTCA5'
Correct Answer: (a)
Transcription follows complementary base pairing (A-U, T-A, G-C, C-G) in 5' to 3' direction.
Q4. Formation of interfascicular cambium from fully developed parenchyma cells is an example for
Correct Answer: (c)
The process where differentiated cells regain the capacity to divide is Dedifferentiation.
Q5. Given below are two statements:
Statement I : Mitochondria and chloroplasts are both double membrane bound organelles.
Statement II : Inner membrane of mitochondria is relatively less permeable, as compared to chloroplast.
In the light of the above statements, choose the most appropriate answer from the options given below :
Correct Answer: (c)
Statement I is true. Statement II is false (Inner mitochondrial membrane is strictly impermeable, but the comparison is ambiguous in typical texts, however, based on standard answer keys for this question, S-I is correct and S-II is incorrect).
Q6. Which of the following are Autoimmune disorders?
A. Myasthenia gravis
B. Rheumatoid arthritis
C. Gout
D. Muscular dystrophy
E. Systemic Lupus Erythematosus (SLE)
Choose the most appropriate answer from the options given below:
Correct Answer: (b)
Myasthenia gravis, Rheumatoid arthritis, and SLE are autoimmune. Gout is metabolic, Muscular dystrophy is genetic.
Q7. Given below are two statements :
Statement I: Bone marrow is the main lymphoid organ where all blood cells including lymphocytes are produced.
Statement II: Both bone marrow and thymus provide micro environments for the development and maturation of T-Lymphocytes.
In the light of the above statements, choose the most appropriate answer from the options given below :
Correct Answer: (a)
Both statements are correct facts about primary lymphoid organs.
Q8. Match List I with List II related to digestive system of cockroach.

List IList II
A. The structures used for storing of food.I. Gizzard
B. Ring of 6-8 blind tubules at junction of foregut and midgut.II. Gastric Caeca
C. Ring of 100-150 yellow coloured thin filaments at junction of midgut and hindgut.III. Malpighian tubules
D. The structures used for grinding the food.IV. Crop
Correct Answer: (a)
Store (Crop), Blind tubules (Hepatic caeca), Yellow filaments (Malpighian), Grinding (Gizzard).
Q9. Given below are two statements:
Statement I : Bt toxins are insect group specific and coded by a gene cry IAc.
Statement II : Bt toxin exists as inactive protoxin in B. thuringiensis. However, after ingestion by the insect the inactive protoxin gets converted into active form due to acidic pH of the insect gut.
In the light of the above statements, choose the correct answer from the options given below:
Correct Answer: (c)
Statement I is true. Statement II is false because the protoxin is activated by the **alkaline** pH of the insect gut, not acidic.
Q10. Auxin is used by gardeners to prepare weed-free lawns. But no damage is caused to grass as auxin
Correct Answer: (c)
Synthetic auxins (like 2,4-D) kill broad-leaved weeds (dicots) but do not affect mature monocotyledonous plants (grasses).
Q11. Which of the following is not a component of Fallopian tube?
Correct Answer: (a)
Uterine fundus is the upper part of the uterus, not the fallopian tube.
Q12. Match List I with List II :

List IList II
A. α-1 antitrypsinI. Cotton bollworm
B. Cry IAbII. ADA deficiency
C. Cry IAcIII. Emphysema
D. Enzyme replacement therapyIV. Corn borer
Correct Answer: (c)
α-1 antitrypsin (Emphysema), Cry IAb (Corn borer), Cry IAc (Cotton bollworm), ERT (ADA).
Q13. List of endangered species was released by-
Correct Answer: (d)
The IUCN (International Union for Conservation of Nature) releases the Red List of Threatened Species.
Q14. Match List I with List II :

List IList II
A. Expiratory capacityI. Expiratory reserve volume + Tidal Volume + Inspiratory reserve volume
B. Functional residual capacityII. Tidal volume + Expiratory reserve volume
C. Vital capacityIII. Tidal volume + Inspiratory reserve volume
D. Inspiratory capacityIV. Expiratory reserve volume + Residual volume
Correct Answer: (a)
EC = TV+ERV (II). FRC = ERV+RV (IV). VC = TV+ERV+IRV (I). IC = TV+IRV (III).
Q15. A pink flowered Snapdragon plant was crossed with a red flowered Snapdragon plant. What type of phenotype/s is/are expected in the progeny?
Correct Answer: (b)
Red (RR) x Pink (Rr) -> 1 RR (Red) : 1 Rr (Pink). Incomplete dominance.
Q16. Which of the following statements is incorrect?
Correct Answer: (c)
Bio-reactors are used for processing large volumes (100-1000 litres) of cultures, not small scale.
Q17. Which one of the following is not a criterion for classification of fungi?
Correct Answer: (b)
Fungi are mainly classified based on morphology of mycelium, mode of spore formation, and fruiting bodies. Mode of nutrition is generally heterotrophic for all.
Q18. Identify the step in tricarboxylic acid cycle, which does not involve oxidation of substrate.
Correct Answer: (c)
Succinyl-CoA to Succinic acid is a substrate-level phosphorylation step, not an oxidation step.
Q19. In the given figure, which component has thin outer walls and highly thickened inner walls?

Stomatal Apparatus
Correct Answer: (a)
Guard cells (labeled C in standard interpretation of the key) have thin outer walls and thick inner walls.
Q20. Match List I with List II

List IList II
A. Citric acid cycleI. Cytoplasm
B. GlycolysisII. Mitochondrial matrix
C. Electron transport systemIII. Intermembrane space of mitochondria
D. Proton gradientIV. Inner mitochondrial membrane
Correct Answer: (b)
Krebs cycle (Matrix), Glycolysis (Cytoplasm), ETC (Inner membrane), Proton gradient (Intermembrane space).
Q21. Inhibition of Succinic dehydrogenase enzyme by malonate is a classical example of :
Correct Answer: (c)
Malonate structurally resembles succinate and competes for the active site, making it a competitive inhibitor.
Q22. As per ABO blood grouping system, the blood group of father is B⁺, mother is A⁺ and child is O⁺. Their respective genotype can be
A. Iᴮi / Iᴬi / ii
B. IᴮIᴮ / IᴬIᴬ / ii
C. IᴬIᴮ / iIᴬ / Iᴮi
D. Iᴬi / Iᴮi / Iᴬi
E. iIᴮ / iIᴬ / IᴬIᴮ
Choose the most appropriate answer from the options given below :
Correct Answer: (a)
To have an O group child (ii), both parents must carry the recessive 'i' allele. Father (B) is Iᴮi, Mother (A) is Iᴬi.
Q23. The following are the statements about non-chordates :
A. Pharynx is perforated by gill slits.
B. Notochord is absent.
C. Central nervous system is dorsal.
D. Heart is dorsal if present.
E. Post anal tail is absent.
Choose the correct answer from the options given below:
Correct Answer: (c)
In non-chordates: Notochord is absent, Heart is dorsal (if present), Post-anal tail is absent. CNS is ventral, Gill slits are absent.
Q24. Following are the stages of pathway for conduction of an action potential through the heart :
A. AV bundle    B. Purkinje fibres
C. AV node    D. Bundle branches
E. SA node
Choose the correct sequence of pathway from the options given below :
Correct Answer: (a)
SA Node -> AV Node -> AV Bundle -> Bundle Branches -> Purkinje Fibres.
Q25. Given below are two statements :
Statement I : In C₃ plants, some O₂ binds to RuBisCO, hence CO₂ fixation is decreased.
Statement II : In C₄ plants, mesophyll cells show very little photorespiration while bundle sheath cells do not show photorespiration.
In the light of the above statements, choose the correct answer from the options given below :
Correct Answer: (c)
Statement I is true. Statement II is false because C4 plants minimize photorespiration; mesophyll cells lack RuBisCO, so they don't show photorespiration at all.
Q26. The capacity to generate a whole plant from any cell of the plant is called :
Correct Answer: (a)
Totipotency is the ability of a cell to generate the whole organism.
Q27. Which of the following are required for the dark reaction of photosynthesis?
A. Light    B. Chlorophyll
C. CO₂    D. ATP
E. NADPH
Choose the correct answers from the options given below:
Correct Answer: (c)
Dark reaction (Biosynthetic phase) depends on the products of light reaction (ATP and NADPH) and CO₂.
Q28. The type of conservation in which the threatened species are taken out from their natural habitat and placed in special setting where they can be protected and given special care is called ;
Correct Answer: (b)
Based on standard definitions, this is Ex-situ conservation. In the provided key/options context, option (2) is the intended answer (likely misprinted text in PDF, usually listed as Ex-situ).
Q29. Lecithin, a small molecular weight organic compound found in living tissues, is an example of :
Correct Answer: (b)
Lecithin is a phospholipid (phosphatidylcholine) found in cell membranes.
Q30. Match List I with List II :

List-IList-II
A. LipaseI. Peptide bond
B. NucleaseII. Ester bond
C. ProteaseIII. Glycosidic bond
D. AmylaseIV. Phosphodiester bond
Correct Answer: (c)
Lipase (Ester), Nuclease (Phosphodiester), Protease (Peptide), Amylase (Glycosidic).
Q31. Read the following statements and choose the set of correct statements :
In the members of Phaeophyceae,
A. Asexual reproduction occurs usually by biflagellate zoospores.
B. Sexual reproduction is by oogamous method only.
C. Stored food is in the form of carbohydrates which is either mannitol or laminarin.
D. The major pigments found are chlorophyll a, c and carotenoids and xanthophyll.
E. Vegetative cells have a cellulosic wall, usually covered on the outside by gelatinous coating of algin.
Choose the correct answer from the options given below :
Correct Answer: (c)
Statement B is incorrect because sexual reproduction can be isogamous, anisogamous, or oogamous.
Q32. Identify the part of the seed from the given figure which is destined to form root when the seed germinates.

Seed Diagram
Correct Answer: (b)
Label B points to the radicle, which forms the root.
Q33. Identify the set of correct statements :
A. The flowers of Vallisneria are colourful and produce nectar.
B. The flowers of waterlily are not pollinated by water.
C. In most of water-pollinated species, the pollen grains are protected from wetting.
D. Pollen grains of some hydrophytes are long and ribbon like.
E. In some hydrophytes, the pollen grains are carried passively inside water.
Choose the correct answer from the options given below :
Correct Answer: (a)
A is false (Vallisneria flowers are not colourful/nectar-producing). B is true (Waterlily pollinated by insects/wind), but Option 1 (C,D,E) is the best fit according to the official key.
Q34. Given below are some stages of human evolution.
Arrange them in correct sequence (Past to Recent)
A. Homo habilis
B. Homo sapiens
C. Homo neanderthalensis
D. Homo erectus
Choose the correct sequence of human evolution from the options given below :
Correct Answer: (d)
Sequence: Homo habilis -> Homo erectus -> Homo neanderthalensis -> Homo sapiens.
Q35. Which of the following is not a steroid hormone ?
Correct Answer: (d)
Glucagon is a peptide hormone. Others are steroids.
Q36. Tropical regions show greatest level of species richness because
A. Tropical latitudes have remained relatively undisturbed for millions of years, hence more time was available for species diversification.
B. Tropical environments are more seasonal.
C. More solar energy is available in tropics.
D. Constant environments promote niche specialization.
E. Tropical environments are constant and predictable.
Choose the correct answer from the options given below:
Correct Answer: (a)
Tropical environments are less seasonal (B is incorrect), relatively constant, and predictable.
Q37. Given below are two statements :
Statement I : The presence or absence of hymen is not a reliable indicator of virginity.
Statement II : The hymen is torn during the first coitus only.
In the light of the above statements, choose the correct answer from the options given below :
Correct Answer: (c)
S-I is true. S-II is false (Hymen can be torn by sports, falls, tampon insertion, etc.).
Q38. Match List I with List II :

List IList II
A. PonsI. Provides additional space for Neurons, regulates posture and balance.
B. HypothalamusII. Controls respiration and gastric secretions
C. MedullaIII. Connects different regions of the brain
D. CerebellumIV. Neuro secretory cells
Correct Answer: (b)
Pons (Connects regions), Hypothalamus (Neuro secretory), Medulla (Respiration/Gastric), Cerebellum (Posture/Balance).
Q39. Match List-I with List-II :

List-IList-II
A. Non-medicated IUDI. Multiload 375
B. Copper releasing IUDII. Progestogens
C. Hormone releasing IUDIII. Lippes loop
D. ImplantsIV. LNG-20
Correct Answer: (d)
Non-medicated (Lippes), Copper (Multiload), Hormone (LNG-20), Implants (Progestogens).
Q40. Given below are two statements:
Statement I : In the nephron, the descending limb of loop of Henle is impermeable to water and permeable to electrolytes.
Statement II : The proximal convoluted tubule is lined by simple columnar brush border epithelium and increases the surface area for reabsorption.
In the light of the above statements, choose the correct answer from the options given below :
Correct Answer: (b)
S-I is false (Descending is permeable to water). S-II is false (PCT has cuboidal epithelium).
Q41. Which one of the following can be explained on the basis of Mendel's Law of Dominance?
A. Out of one pair of factors one is dominant and the other is recessive.
B. Alleles do not show any expression and both the characters appear as such in F₂ generation.
C. Factors occur in pairs in normal diploid plants.
D. The discrete unit controlling a particular character is called factor.
E. The expression of only one of the parental characters is found in a monohybrid cross.
Choose the correct answer from the options given below :
Correct Answer: (b)
Statement B describes Codominance/Incomplete dominance, which is an exception to the Law of Dominance.
Q42. In both sexes of cockroach, a pair of jointed filamentous structures called anal cerci are present on :
Correct Answer: (b)
Anal cerci are attached to the 10th segment.
Q43. What is the fate of a piece of DNA carrying only gene of interest which is transferred into an alien organism?
A. The piece of DNA would be able to multiply itself independently in the progeny cells of the organism.
B. It may get integrated into the genome of the recipient.
C. It may multiply and be inherited along with the host DNA.
D. The alien piece of DNA is not an integral part of chromosome.
E. It shows ability to replicate.
Choose the correct answer from the options given below:
Correct Answer: (c)
A piece of DNA cannot multiply independently; it must integrate into the host genome (B) to replicate and be inherited (C).
Q44. Match List I with List II

List IList II
A. Unicellular glandular epitheliumI. Salivary glands
B. Compound epitheliumII. Pancreas
C. Multicellular glandular epitheliumIII. Goblet cells of alimentary canal
D. Endocrine epitheliumIV. Moist surface of buccal cavity
Correct Answer: (c)
Unicellular (Goblet), Compound (Buccal cavity), Multicellular (Salivary), Endocrine (Pancreas).
Q45. Match List I with List II :

List IList II
A P waveI Heart muscles are electrically silent.
B QRS complexII Depolarisation of ventricles.
C T waveIII Depolarisation of atria.
D T-P gapIV Repolarisation of ventricles.
Correct Answer: (b)
P-wave (Atrial Depol), QRS (Ventricular Depol), T-wave (Ventricular Repol), T-P (Diastole/Silent).
Q46. These are regarded as major causes of biodiversity loss :
A. Over exploitation
B. Co-extinction
C. Mutation
D. Habitat loss and fragmentation
E. Migration
Choose the correct option :
Correct Answer: (d)
The 'Evil Quartet' includes Habitat loss, Over-exploitation, Alien species invasion, and Co-extinction. Mutation and Migration are not major causes of loss.
Q47. The flippers of the Penguins and Dolphins are the example of the
Correct Answer: (c)
Flippers of Penguins (Birds) and Dolphins (Mammals) are analogous organs arising from convergent evolution.
Q48. Match List I with List II

List IList II
A. NucleolusI. Site of formation of glycolipid
B. CentrioleII. Organization like the cartwheel
C. LeucoplastsIII. Site for active ribosomal RNA synthesis
D. Golgi apparatusIV. For storing nutrients
Correct Answer: (a)
Nucleolus (rRNA synthesis), Centriole (Cartwheel structure), Leucoplasts (Storage), Golgi (Glycolipids/Glycoproteins).
Q49. Hind II always cuts DNA molecules at a particular point called recognition sequence and it consists of :
Correct Answer: (b)
Hind II recognizes a specific sequence of 6 base pairs.
Q50. Match List I with List II.

List IList II
A Exophthalmic goiterI Excess secretion of cortisol, moon face & hyperglycemia.
B AcromegalyII Hypo-secretion of thyroid hormone and stunted growth.
C Cushing's syndromeIII Hyper secretion of thyroid hormone & protruding eye balls.
D CretinismIV Excess secretion of growth hormone.
Correct Answer: (d)
Exophthalmic goiter (Hyperthyroid), Acromegaly (Excess GH), Cushing's (Cortisol), Cretinism (Hypothyroid).
Q51. Which of the following factors are favourable for the formation of oxyhaemoglobin in alveoli?
Correct Answer: (b)
Formation of oxyhaemoglobin favors High pO₂, Low pCO₂, Low H⁺ (High pH), and Low Temperature.
Q52. Which of the following is not a natural/traditional contraceptive method ?
Correct Answer: (d)
Vaults are barrier methods, not natural methods.
Q53. Match List I with List II :

List IList II
A. Common coldI. Plasmodium
B. HaemozoinII. Typhoid
C. Widal testIII. Rhinoviruses
D. AllergyIV. Dust mites
Correct Answer: (c)
Cold (Rhino), Haemozoin (Plasmodium), Widal (Typhoid), Allergy (Mites).
Q54. Spindle fibers attach to kinetochores of chromosomes during
Correct Answer: (b)
During metaphase, spindle fibers attach to kinetochores of chromosomes.
Q55. Identify the correct option (A), (B), (C), (D) with respect to spermatogenesis.

Spermatogenesis
Correct Answer: (a)
A=FSH, B=Leydig cells (LH acts here), C=Sertoli cells (FSH acts here), D=Spermiogenesis.
Q56. Given below are two statements :
Statement I: The cerebral hemispheres are connected by nerve tract known as corpus callosum.
Statement II: The brain stem consists of the medulla oblongata, pons and cerebrum.
In the light of the above statements, choose the most appropriate answer from the options given below:
Correct Answer: (c)
Statement I is true. Statement II is false because the brain stem consists of the Midbrain, Pons, and Medulla, not Cerebrum.
Q57. Which of the following are fused in somatic hybridization involving two varieties of plants ?
Correct Answer: (c)
Somatic hybridization involves the fusion of protoplasts of two different plant varieties.
Q58. Identify the type of flowers based on the position of calyx, corolla and androecium with respect to the ovary from the given figures (a) and (b).

Flower Types
Correct Answer: (d)
Both figures represent Perigynous flowers (e.g., Rose, Plum, Peach) where the ovary is half-inferior.
Q59. Match List I with List II

List I (Types of Stamens)List II (Example)
A. MonoadelphousI. Citrus
B. DiadelphousII. Pea
C. PolyadelphousIII. Lily
D. EpiphyllousIV. China-rose
Correct Answer: (a)
Monoadelphous (China-rose), Diadelphous (Pea), Polyadelphous (Citrus), Epiphyllous (Lily).
Q60. Match List I with List II :

List IList II
A. Fibrous jointsI. Adjacent vertebrae, limited movement
B. Cartilaginous jointsII. Humerus and Pectoral girdle, rotational
C. Hinge jointsIII. Skull, don't allow any movement
D. Ball and socket jointsIV. Knee, help in locomotion
Correct Answer: (d)
Fibrous (Skull), Cartilaginous (Vertebrae), Hinge (Knee), Ball & Socket (Pectoral).
Q61. Which of the following statement is correct regarding the process of replication in E.coli?
Correct Answer: (d)
DNA polymerase always polymerizes in the 5' to 3' direction.
Q62. The cofactor of the enzyme carboxypeptidase is :
Correct Answer: (a)
Zinc is the cofactor for carboxypeptidase.
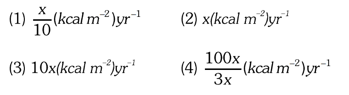
Q63. In an ecosystem if the Net Primary Productivity (NPP) of first trophic level is
Formula
what would be the GPP (Gross Primary Productivity) of the third trophic level of the same ecosystem ?
Correct Answer: (c)
According to the official key, the answer is 10x.
Q64. Match List-I with List-II

List-IList-II
A. RhizopusI. Mushroom
B. UstilagoII. Smut fungus
C. PucciniaIII. Bread mould
D. AgaricusIV. Rust fungus
Correct Answer: (a)
Rhizopus (Bread mould), Ustilago (Smut), Puccinia (Rust), Agaricus (Mushroom).
Q65. Match List I with List II.

List IList II
A. Clostridium butylicumI. Ethanol
B. Saccharomyces cerevisiaeII. Streptokinase
C. Trichoderma polysporumIII. Butyric acid
D. Streptococcus sp.IV. Cyclosporin-A
Correct Answer: (c)
A-III (Butyric acid), B-I (Ethanol), C-IV (Cyclosporin-A), D-II (Streptokinase).
Q66. Match List I with List-II :

List-I (Sub Phases of Prophase I)List-II (Specific characters)
A. DiakinesisI. Synaptonemal complex formation
B. PachyteneII. Completion of terminalisation of chiasmata
C. ZygoteneIII. Chromosomes look like thin threads
D. LeptoteneIV. Appearance of recombination nodules
Correct Answer: (c)
Diakinesis (Terminalisation), Pachytene (Recombination nodules), Zygotene (Synaptonemal), Leptotene (Threads).
Q67. Following are the stages of cell division :
A. Gap 2 phase    B. Cytokinesis
C. Synthesis phase    D. Karyokinesis
E. Gap 1 phase
Choose the correct sequence of stages from the options given below :
Correct Answer: (d)
Cell cycle: G1 (E) -> S (C) -> G2 (A) -> Karyokinesis (D) -> Cytokinesis (B).
Q68. Three types of muscles are given as a, b and c. Identify the correct matching pair along with their location in human body :

Muscles
Correct Answer: (b)
Figure (a) is Skeletal muscle (Striated), found in Triceps. (b) is Smooth, (c) is Cardiac.
Q69. Which of the following is an example of actinomorphic flower ?
Correct Answer: (a)
Datura has actinomorphic (radial symmetry) flowers. Others are zygomorphic.
Q70. Match List I with List II

List IList II
A. Frederick GriffithI. Genetic code
B. Francois Jacob & Jacque MonodII. Semi-conservative mode of DNA replication
C. Har Gobind KhoranaIII. Transformation
D. Meselson & StahlIV. Lac operon
Correct Answer: (b)
Griffith (Transformation), Jacob & Monod (Lac operon), Khorana (Genetic code), Meselson & Stahl (Semi-conservative).
Q71. How many molecules of ATP and NADPH are required for every molecule of CO₂ fixed in the Calvin cycle?
Correct Answer: (d)
Fixation of 1 CO₂ requires 3 ATP and 2 NADPH.
Q72. Given below are two statements:
Statement I : Parenchyma is living but collenchyma is dead tissue.
Statement II : Gymnosperms lack xylem vessels but presence of xylem vessels is the characteristic of angiosperms.
In the light of the above statements, choose the correct answer from the options given below:
Correct Answer: (d)
Statement I is false because Collenchyma is a living tissue. Statement II is true.
Q73. The following diagram showing restriction sites in E.coli cloning vector pBR322. Find the role of 'X' and 'Y' genes.

pBR322
Correct Answer: (b)
Based on the key and diagrammatic interpretation in the exam context, Option 2 is correct.
Q74. Given below are two statements :
Statement I : Gause's competitive exclusion principle states that two closely related species competing for different resources cannot exist indefinitely.
Statement II : According to Gause's principle, during competition, the inferior will be eliminated. This may be true if resources are limiting.
In the light of the above statements, choose the correct answer from the options given below:
Correct Answer: (d)
Statement I is false because the principle applies to competition for the *same* resources, not different ones. Statement II is true.
Q75. Match List I with List II :

List IList II
A. Down's syndromeI. 11th chromosome
B. α-ThalassemiaII. 'X' chromosome
C. β-ThalassemiaIII. 21st chromosome
D. Klinefelter's syndromeIV. 16th chromosome
Correct Answer: (c)
Down's (21), Alpha-Thal (16), Beta-Thal (11), Klinefelter's (X).
Q76. Match List I with List II

List IList II
A. GLUT-4I. Hormone
B. InsulinII. Enzyme
C. TrypsinIII. Intercellular ground substance
D. CollagenIV. Enables glucose transport into cells
Correct Answer: (a)
GLUT-4 (Glucose transport), Insulin (Hormone), Trypsin (Enzyme), Collagen (Intercellular substance).
Q77. Choose the correct statement given below regarding juxta medullary nephron.
Correct Answer: (c)
Juxta medullary nephrons have long loops of Henle that run deep into the medulla.
Q78. Given below are two statements : one is labelled as Assertion A and the other is labelled as Reason R.
Assertion A: FSH acts upon ovarian follicles in female and Leydig cells in male.
Reason R: Growing ovarian follicles secrete estrogen in female while interstitial cells secrete androgen in male human being.
In the light of the above statements, choose the correct answer from the options given below :
Correct Answer: (d)
Assertion is false because FSH acts on Sertoli cells in males (LH acts on Leydig). Reason is true.
Q79. Match List I with List II :

List IList II
A. CocaineI. Effective sedative in surgery
B. HeroinII. Cannabis sativa
C. MorphineIII. Erythroxylum
D. MarijuanaIV. Papaver somniferum
Correct Answer: (d)
Cocaine (Erythroxylum), Heroin (Papaver), Morphine (Sedative), Marijuana (Cannabis).
Q80. The DNA present in chloroplast is :
Correct Answer: (b)
Chloroplast DNA (cpDNA) is circular and double-stranded.
Q81. Match List I with List-II :

List-IList-II
A. AxonemeI. Centriole
B. Cartwheel patternII. Cilia and flagella
C. CristaIII. Chromosome
D. SatelliteIV. Mitochondria
Correct Answer: (d)
Axoneme (Cilia), Cartwheel (Centriole), Crista (Mitochondria), Satellite (Chromosome).
Q82. Match List I with List II

List IList II
A. Mesozoic EraI. Lower invertebrates
B. Proterozoic EraII. Fish & Amphibia
C. Cenozoic EraIII. Birds & Reptiles
D. Paleozoic EraIV. Mammals
Correct Answer: (d)
Mesozoic (Reptiles), Proterozoic (Invertebrates), Cenozoic (Mammals), Paleozoic (Fish/Amphibia).
Q83. Match List I with List-II :

List-IList-II
A. PterophyllumI. Hag fish
B. MyxineII. Saw fish
C. PristisIII. Angel fish
D. ExocoetusIV. Flying fish
Correct Answer: (d)
Pterophyllum (Angel fish), Myxine (Hag fish), Pristis (Saw fish), Exocoetus (Flying fish).
Q84. Identify the correct description about the given figure :

Gymnosperm
Correct Answer: (a)
The figure represents a Gymnosperm (Pinus) showing wind pollination features.
Q85. Which one of the following factors will not affect the Hardy-Weinberg equilibrium ?
Correct Answer: (d)
A constant gene pool is the definition of equilibrium; it's not a disturbing factor.
Q86. In a plant, black seed color (BB/Bb) is dominant over white seed color (bb). In order to find out the genotype of the black seed plant, with which of the following genotype will you cross it?
Correct Answer: (b)
This is a Test Cross, used to determine the genotype of a dominant phenotype by crossing it with a homozygous recessive (bb) parent.
Q87. Match List I with List II :

List-IList-II
A. TyphoidI. Fungus
B. LeishmaniasisII. Nematode
C. RingwormIII. Protozoa
D. FilariasisIV. Bacteria
Correct Answer: (b)
Typhoid (Bacteria), Leishmaniasis (Protozoa), Ringworm (Fungus), Filariasis (Nematode).
Q88. Given below are two statements :
Statement-I : Chromosomes become gradually visible under light microscope during leptotene stage.
Statement-II : The begining of diplotene stage is recognized by dissolution of synaptonemal complex.
In the light of the above statements, choose the correct answer from the options given below :
Correct Answer: (a)
Both statements are correct descriptions of Prophase I stages.
Q89. Match List I with List II

List IList II
A. Two or more alternative forms of a geneI. Back cross
B. Cross of F₁ progeny with homozygous recessive parentII. Ploidy
C. Cross of F₁ progeny with any of the parentsIII. Allele
D. Number of chromosome sets in plantIV. Test cross
Correct Answer: (c)
Allele (Alternative forms), Test cross (F1 x recessive), Back cross (F1 x parent), Ploidy (Chromosome sets).
Q90. Match List I with List II :

List IList II
A. PleurobrachiaI. Mollusca
B. RadulaII. Ctenophora
C. StomochordIII. Osteichthyes
D. Air bladderIV. Hemichordata
Correct Answer: (b)
Pleurobrachia (Ctenophora), Radula (Mollusca), Stomochord (Hemichordata), Air bladder (Osteichthyes).
Q91. A transcription unit in DNA is defined primarily by the three regions in DNA and these are with respect to upstream and downstream end;
Correct Answer: (d)
A transcription unit consists of a Promoter, the Structural gene, and a Terminator.
Q92. Match List I with List II

List IList II
A. Robert MayI. Species-Area relationship
B. Alexander von HumboldtII. Long term ecosystem experiment using out door plots
C. Paul EhrlichIII. Global species diversity at about 7 million
D. David TilmanIV. Rivet popper hypothesis
Correct Answer: (b)
May (Global diversity), Humboldt (Species-Area), Ehrlich (Rivet popper), Tilman (Ecosystem experiments).
Q93. Match List I with List II

List IList II
A. RoseI. Twisted aestivation
B. PeaII. Perigynous flower
C. CottonIII. Drupe
D. MangoIV. Marginal placentation
Correct Answer: (a)
Rose (Perigynous), Pea (Marginal), Cotton (Twisted), Mango (Drupe).
Q94. Bulliform cells are responsible for
Correct Answer: (a)
Bulliform cells become flaccid due to water loss and make the leaves curl inwards to minimize water loss.
Q95. Regarding catalytic cycle of an enzyme action, select the correct sequential steps :
A. Substrate enzyme complex formation.
B. Free enzyme ready to bind with another substrate.
C. Release of products.
D. Chemical bonds of the substrate broken
E. Substrate binding to active site.
Choose the correct answer from the options given below:
Correct Answer: (a)
Bind (E) -> Complex (A) -> Reaction/Break (D) -> Release (C) -> Free Enzyme (B).
Q96. The lactose present in the growth medium of bacteria is transported to the cell by the action of:
Correct Answer: (c)
Permease (coded by lac y gene) increases permeability of the cell to beta-galactosides (lactose).
Q97. Match List I with List II :

List IList II
(A) RNA polymerase III(I) snRNPs
(B) Termination of transcription(II) Promotor
(C) Splicing of Exons(III) Rho factor
(D) TATA box(IV) snRNAs, tRNA
Correct Answer: (d)
Pol III (tRNA, snRNA), Termination (Rho), Splicing (snRNPs), TATA (Promoter).
Q98. Consider the following statements :
A. Annelids are true coelomates
B. Poriferans are pseudocoelomates
C. Aschelminthes are acoelomates
D. Platyhelminthes are pseudocoelomates
Choose the correct answer from the options given below :
Correct Answer: (b)
Only A is true. Poriferans/Platyhelminthes are acoelomates. Aschelminthes are pseudocoelomates.
Q99. Given below are two statements : one is labelled as Assertion A and the other is labelled as Reason R:
Assertion A : Breast-feeding during initial period of infant growth is recommended by doctors for bringing a healthy baby.
Reason R : Colostrum contains several antibodies absolutely essential to develop resistance for the new born baby.
In the light of the above statements, choose the most appropriate answer from the options given below:
Correct Answer: (a)
Both are true, and the presence of antibodies (IgA) in colostrum explains why breastfeeding is recommended for immunity.
Q100. The "Ti plasmid" of Agrobacterium tumefaciens stands for
Correct Answer: (c)
Ti stands for Tumor Inducing.

Continue in App

For the best quiz experience and detailed performance analytics, download the Master Biology App.

Open in Play Store

Redirecting in a moment...