AIPMT (Pre) 2012 Biology Solved Paper

Menu

×
 Home  Chapters  Practice Papers  Topics  Flashcard  PYQs  MCQs  NEET Papers  Mock Test  NCERT PDF  Mind Map  My Performance
Q1. Which one of the following is the correct statement for respiration in human :
Correct Answer: (c)
Chronic exposure to dust in these industries leads to occupational lung disease (fibrosis).
Q2. Common cold differs from pneumonia in, that :
Correct Answer: (d)
Common cold is a viral infection of the upper respiratory tract; pneumonia affects the lower respiratory tract (alveoli).
Q3. For transformation, micro-particles coated with DNA to be bombarded with gene gun are made up of :
Correct Answer: (d)
Biolistics uses gold or tungsten micro-carriers.
Q4. A certain road accident patient with unknown blood group needs immediate blood transfusion. His one doctor friend at once offers his blood. What was the blood group of the donor ?
Correct Answer: (c)
Blood group O is the universal donor as it lacks A and B antigens on RBCs.
Q5. The most abundant prokaryotes helpful to humans in making curd from milk and in production of antibiotics are the ones categorised as :
Correct Answer: (d)
Lactobacillus (curd making) and most antibiotic-producing bacteria (like Streptomyces) are heterotrophs.
Q6. Even in absence of pollinating agents seed setting is assured in :
Correct Answer: (a)
Commelina has cleistogamous flowers which ensure seed setting via self-pollination.
Q7. Which one of the following does not differ in E.coli and Chlamydomonas ?
Correct Answer: (d)
The basic structure of the plasma membrane (lipid bilayer) is the same in prokaryotes and eukaryotes.
Q8. How many plants in the list given below have composite fruits that develop from an inflorescence :
Walnut, poppy, radish, fig, pineapple, apple, tomato, mulberry
Correct Answer: (d)
Fig (syconus), Pineapple (sorosis), and Mulberry (sorosis) are composite fruits.
Q9. If one strand of DNA has the nitrogenous base sequence ATCTG, what would be the complementary RNA strand sequence ?
Correct Answer: (b)
A matches U (RNA), T matches A, C matches G, T matches A, G matches C.
Q10. Which one of the following options gives one correct example each of convergent evolution and divergent evolution?
Convergent evolutionDivergent evolution
(1) Eyes of octopus and mammalsBones of forelimbs of vertebrates
(2) Thorns of Bougainvillia and tendrils of CucurbitaWings of butterflies and birds
(3) Bones of forelimbs of vertebratesWings of butterfly and birds
(4) Thorns of Bougainvillia and tendrils of CucurbitaEyes of Octopus and mammals
Correct Answer: (a)
Octopus/Mammal eyes are analogous (convergent); Vertebrate forelimbs are homologous (divergent).
Q11. Which one is a true statement regarding DNA polymerase used in PCR ?
Correct Answer: (d)
Taq polymerase (from Thermus aquaticus) is thermostable and survives high PCR temperatures.
Q12. In an area where DDT had been used extensively, the population of birds declined significantly because:
Correct Answer: (d)
High concentrations of DDT interfere with calcium metabolism in birds, leading to thinning of eggshells and premature breaking.
Q13. The extinct human who lived 1,00,000 to 40,000 years ago, in Europe, Asia and parts of Africa, with short stature, heavy eyebrows, retreating foreheads, large jaws with heavy teeth, stocky bodies, a lumbering gait and stooped posture was :
Correct Answer: (b)
Neanderthals lived in caves across Eurasia and were robustly built.
Q14. Nuclear membrane is absent in :
Correct Answer: (d)
Nostoc is a prokaryotic cyanobacterium and lacks a nuclear envelope.
Q15. Select the correct statement from the following regarding cell membrane. :
Correct Answer: (d)
Singer and Nicolson proposed the Fluid Mosaic Model in 1972.
Q16. Which one of the follwing is a correct statement ?
Correct Answer: (d)
Heterosporous pteridophytes like Selaginella show the precursors to the seed habit.
Q17. Yeast is used in the production of :
Correct Answer: (c)
Saccharomyces cerevisiae is known as Brewer's and Baker's yeast.
Q18. A person entering an empty room suddenly finds a snake right in front on opening the door. Which one of the following is likely to happen in his neuro-hormonal control system ?
Correct Answer: (a)
The 'fight or flight' response triggers the sympathetic system to release catecholamines from the adrenal medulla.
Q19. Water containing cavities in vascular bundles are found in :
Correct Answer: (b)
Monocot stems (like Maize) have schizogenous protoxylem lacunae (water cavities).
Q20. Best defined function of Manganese in green plants is :
Correct Answer: (a)
Manganese (Mn++) and Chloride ions are essential for the splitting of water during light reactions.
Q21. Placentation in tomato and lemon is
Correct Answer: (d)
Axile placentation is found in multicarpellary syncarpous ovaries of Citrus and Tomato.
Q22. Which one of the following is correctly matched ?
Correct Answer: (c)
Potassium is a highly mobile element in plants; official key logic 3.
Q23. Which statement is wrong for viruses :
Correct Answer: (b)
Viruses show different symmetries, including polyhedral, helical, and binal.
Q24. Identify the possible link 'A' in the following food chain :
Plant → insect - frog → 'A' → Eagle
Correct Answer: (c)
Snakes (Cobra) are the typical secondary/tertiary consumers that feed on frogs.
Q25. Cirrhosis of liver is caused by the chronic intake of :
Correct Answer: (b)
Chronic alcoholism is the primary cause of liver cirrhosis.
Q26. Given below is the representation of a certain event at a particular stage of a type of cell division. Which is this stage ?
Correct Answer: (a)
The image shows crossing over, which occurs in Pachytene of Prophase I (Meiosis).
Q27. A process that makes important difference between C3 and C4 plants is :
Correct Answer: (d)
C4 plants have Kranz anatomy to avoid photorespiration, which is common in C3 plants.
Q28. The cycanobacteria are also referred to as :
Correct Answer: (d)
Cyanobacteria are prokaryotic photosynthetic organisms known as Blue Green Algae.
Q29. F2 generation in a Mendelian cross showed that both genotypic and phenotypic ratios are same as 1 : 2 : 1. It represents a case of :
Correct Answer: (d)
In incomplete dominance (Snapdragon), both ratios are 1RR : 2Rr : 1rr (Red:Pink:White).
Q30. Which one of the following is not a functional unit of an ecosystem
Correct Answer: (d)
Stratification is a structural component of an ecosystem, not a functional one.
Q31. The coconut water and the edible part of coconut are equivalent to :
Correct Answer: (a)
Both the milk (free-nuclear) and the kernel (cellular) are endosperm tissue.
Q32. Removal of introns and joining of exons in a defined order during transcription is called :
Correct Answer: (d)
RNA Splicing is the post-transcriptional processing of hnRNA into mRNA.
Q33. The human hind brain comprises three parts, one of which is :
Correct Answer: (c)
The hindbrain consists of the pons, cerebellum, and medulla oblongata.
Q34. Anxiety and eating spicy food together in an otherwise normal human, may lead to :
Correct Answer: (a)
Indigestion is often caused by anxiety, spicy food, or overeating.
Q35. A normal visioned man whose father was colour blind, marries a woman whose father was also colour blind. They have their first child as a daughter. what are the chance that this child would be colour blind ?
Correct Answer: (b)
The man is XY (normal). The woman is a carrier (XcX). The daughter must receive the father's normal X, so 0% chance of being colorblind.
Q36. Maximum nutritional diversity is found in the group :
Correct Answer: (c)
Monerans show autotrophic (photo/chemo) and heterotrophic (saprophytic/parasitic) nutrition.
Q37. The figure below is the diagrammatic representation of the E.Coli vector pBR 322. Which one of the given options correctly identifies its certain component (s) ?
Correct Answer: (d)
ampR and tetR are genes that provide resistance against ampicillin and tetracycline, used as selectable markers.
Q38. A nitrogen-fixing microbe associated with Azolla in rice fields is :
Correct Answer: (b)
Anabaena azollae lives in the leaf cavities of the water fern Azolla.
Q39. Which one of the following is an example of carrying out biological control of pests/diseases using microbes ?
Correct Answer: (a)
Trichoderma is a free-living fungus used as a bio-control agent against soil-borne pathogens.
Q40. Which one of the following is common to multicellular fungi, filamentous algae and protonema of mosses ?
Correct Answer: (d)
All three can reproduce vegetatively via fragmentation of their filaments/thallus.
Q41. The upright pyramid of number is absent in :
Correct Answer: (b)
In a forest, a single large tree supports many insects (inverted at base).
Q42. The gynoecium consists of many free pistils in flowers of :
Correct Answer: (d)
Michelia has a multicarpellary apocarpous (free) gynoecium.
Q43. Widal Test is carried out to test :
Correct Answer: (d)
Widal test is a serological test for enteric fever (Typhoid).
Q44. Pheretima and its close relatives derive nourishment from :
Correct Answer: (b)
Earthworms (Pheretima) are detritivores feeding on organic matter in soil.
Q45. What was the most significant trend in the evolution of modern man (Homo sapiens) from his ancestors ?
Correct Answer: (c)
The most marked anatomical trend in human evolution is the progressive increase in brain size (cranial capacity).
Q46. Which one of the following is not a gaseous biogeochemical cycle in ecosystem ?
Correct Answer: (b)
Phosphorus is a sedimentary cycle; Nitrogen, Carbon, and Oxygen are gaseous.
Q47. Cycas and Adiantum resemble each other in having:
Correct Answer: (b)
Both Cycas (Gymnosperm) and Adiantum (Pteridophyte) produce ciliated motile male gametes.
Q48. A single strand of nucleic acid tagged with a radioactive molecule is called :
Correct Answer: (d)
A probe is used to identify complementary sequences in DNA/RNA hybridization.
Q49. In which one of the following the genus name, its two characters and its phylum are not correctly matched, whereas the remaining three are correct :
Genus nameTwo charactersPhylum
(1) Pila(a) Body Segmented, (b) Mouth with RadualMollusca
(2) Asterias(a) Spiny Skinned, (b) Water vascular systemEchinodermata
(3) Sycon(a) Pore bearing, (b) Canal systemPorifera
(4) Periplaneta(a) Jointed appendages, (b) Chitinous exoskeletonArthropoda
Correct Answer: (a)
Pila (Mollusca) has an unsegmented body. Segmented bodies are in Annelida/Arthropoda.
Q50. Phyllode is present in :
Correct Answer: (c)
In Australian Acacia, the petioles expand and become green/photosynthetic (phyllode).
Q51. Both, autogamy and geitonogamy are prevented in -
Correct Answer: (a)
Papaya is dioecious (male and female flowers on different plants), which prevents both forms of self-pollination.
Q52. PCR and Restriction Fragment Length Polymorphism are the methods for :
Correct Answer: (d)
These techniques are standard tools used in DNA/Genetic Fingerprinting.
Q53. The maximum amount of electrolytes and water (70 - 80 percent) from the glomerular filtrate is reabsorbed in which part of the nephron ?
Correct Answer: (c)
The PCT is the primary site for reabsorption of water, glucose, and electrolytes.
Q54. Measuring Biochemical Oxygen Demand (BOD) is a method used for :
Correct Answer: (a)
BOD is a measure of the amount of oxygen required by microbes to decompose organic matter in water.
Q55. Motile zygote of Plasmodium occurs in :
Correct Answer: (a)
Fertilisation and development (formation of the motile ookinete/zygote) take place in the mosquito's gut.
Q56. Vexillary aestivation is characteristic of the family :
Correct Answer: (a)
Papilionaceous (Vexillary) aestivation is the hallmark of Fabaceae.
Q57. Evolution of different species in a given area starting from a point and spreading to other geographical areas is known as :
Correct Answer: (a)
Adaptive radiation is the process of evolution of different species in a given area starting from a point and radiating to other habitats.
Q58. People who have migrated from the planes to an area adjoining Rohatang Pass about six months back :
Correct Answer: (a)
Body adapts to high altitude by increasing RBC count and decreasing Hb affinity to O2 (Bohr effect/2,3-BPG).
Q59. Compared to those of humans, the erythrocytes in frog are :
Correct Answer: (b)
Human RBCs are enucleate, but frog RBCs are large, oval, and nucleated.
Q60. Which one out of A-D given below correctly represents the structural formula of the basic amino acid :
Correct Answer: (b)
D represents Lysine, which has an extra amino group in the side chain (Basic).
Q61. Which part of the human ear plays no role in hearing as such but is otherwise very much required ?
Correct Answer: (c)
The vestibular apparatus (crista and macula) is responsible for maintaining body balance and posture.
Q62. Signals for parturition originate from :
Correct Answer: (a)
The foetal ejection reflex originates from the fully developed foetus and the placenta.
Q63. Gymnosperms are also called soft wood spermatophytes because they lack :
Correct Answer: (d)
Gymnosperm wood (softwood) lacks xylem vessels and xylem fibers.
Q64. An organic substance that can withstand environmental extremes and cannot be degraded by any enzyme is :
Correct Answer: (b)
Sporopollenin in the exine of pollen is one of the most resistant organic materials known.
Q65. The test-tube Baby Programme employs which one of the following techniques ?
Correct Answer: (d)
ZIFT involves the transfer of an early embryo (zygote) into the fallopian tube.
Q66. The Leydig cells found in the human body are the secretory source of :
Correct Answer: (d)
Leydig cells (interstitial cells) in the testes secrete Testosterone (Androgens).
Q67. Which one of the following areas in India, is a hotspot of biodiversity ?
Correct Answer: (d)
Western Ghats and Sri Lanka is one of the designated biodiversity hotspots in India.
Q68. In a normal pregnant woman, the amount of total gonadotropin activity was assessed. The result expected was :
Correct Answer: (d)
hCG maintains the corpus luteum, which secretes estrogen and progesterone to maintain pregnancy.
Q69. Which one of the following is wrong statement ?
Correct Answer: (c)
Phosphorus is in nucleic acids and membranes, but not in all proteins (Sulfur is).
Q70. Which one of the following microbes forms symbiotic association with plants and helps them in their nutrition ?
Correct Answer: (c)
Glomus forms mycorrhizae (symbiosis with roots) to help absorb Phosphorus.
Q71. Removal of RNA polymerase III from nucleoplasm will affect the synthesis of :
Correct Answer: (a)
RNA Polymerase III is responsible for the transcription of tRNA, 5S rRNA, and snRNAs.
Q72. The common bottle cork is a product of :
Correct Answer: (b)
Phellogen (cork cambium) produces phellem (cork) towards the outer side.
Q73. What is true about ribosomes :
Correct Answer: (b)
Ribosomes are non-membrane bound organelles made of rRNA and proteins.
Q74. Consumption of which one of the following foods can prevent the kind of blindness associated with vitamin 'A' deficiency ?
Correct Answer: (c)
Golden rice is genetically engineered to contain high levels of Beta-carotene (Pro-vitamin A).
Q75. Which part would be most suitable for raising virus-free plants for micropropagation ?
Correct Answer: (c)
Apical and axillary meristems are free of viruses due to rapid cell division and lack of vascular supply.
Q76. Which one of the following is a wrong statement ?
Correct Answer: (b)
Stratospheric ozone (upper atmosphere) is beneficial as it protects from UV radiation. Tropospheric ozone is harmful.
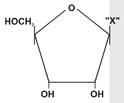
Q77. Given below is the diagrammatic representation of one of the categories of small molecular weight organic compounds in the living tissues. Identify the category shown and the one blank component 'X' in it.
Correct Answer: (d)
The image shows a ribose sugar and a base (Uracil), which is a nucleoside (Uridine).
Q78. Companion cells are closely associated with :
Correct Answer: (a)
Companion cells and sieve tube elements are sister cells connected by plasmodesmata.
Q79. What is the figure given below showing in particular ?
Correct Answer: (c)
The figure shows the cutting and tying of fallopian tubes, which is tubectomy.
Q80. Closed vascular bundles lack :
Correct Answer: (c)
Closed bundles (monocots) lack cambium for secondary growth.
Q81. Ribosomal RNA is actively synthesized in
Correct Answer: (b)
The nucleolus is the site of rRNA transcription and ribosomal subunit assembly.
Q82. Given below is an imaginary pyramid of numbers. What could be one of the possibilities about certain organisms at some of the different levels ?
Correct Answer: (a)
The spindle-shaped pyramid represents a single large tree (PP) with many insects (PC) and fewer birds (SC).
Q83. Which one of the following is correctly matched :
Correct Answer: (a)
Onion is an underground modified stem called a Bulb.
Q84. The correct sequence of cell organelles during photorespiration is :
Correct Answer: (d)
Photorespiration involves three organelles in sequence: Chloroplast → Peroxisome → Mitochondria.
Q85. Which one of the following pairs of hormones are the examples of those that can easily pass through the cell membrane of the target cell and bind to a receptor inside it (Mostly in the nucleus) ?
Correct Answer: (d)
Steroid hormones (Cortisol/Testosterone) are lipid-soluble and bind to intracellular receptors.
Q86. What is correct to say about the hormone action in humans ?
Correct Answer: (c)
FSH (peptide hormone) binds to extracellular receptors on target cell membranes.
Q87. Which one is the most abundant protein in the animal world ?
Correct Answer: (c)
Collagen is the most abundant protein in animals. RuBisCO is the most abundant in the whole biosphere.
Q88. Which one single organism or the pair of organisms is correctly assigned to its or their named taxonomic group :
Correct Answer: (c)
Yeast (Saccharomyces) is a unicellular fungus.
Q89. The highest number of species in the world is represented by :
Correct Answer: (a)
Among these groups, Fungi have more species than the combined total of amphibians, reptiles, mammals, and birds.
Q90. Cymose inflorescence is present in :
Correct Answer: (a)
Solanum shows a cymose inflorescence (where the main axis terminates in a flower).
Q91. A patient brought to a hospital with myocardial infarction is normally immediately given :
Correct Answer: (b)
Streptokinase acts as a 'clot buster' to dissolve blood clots in heart attack patients.
Q92. Select the correct statement with respect to Periplaneta americana. :
Correct Answer: (b)
Anal styles are found only in male cockroaches. The ventral nerve cord is ventral, not dorsal.
Q93. Which on of the following statements is false in respect of viability of mammalian sperm ?
Correct Answer: (d)
Sperm concentration in a suspension does not determine biological viability.
Q94. During gamete formation, the enzyme recombinase participates during
Correct Answer: (c)
Recombinase facilitates crossing over during the Pachytene stage of Prophase I.
Q95. In which one of the following options the two examples are correctly matched with their particular type of immunity :
ExamplesType of immunity
(1) Polymorphonuclear leukocytes and monocytesCellular barriers
(2) Anti-tetanus and anti-snake bite injectionActive immunity
(3) Saliva in mouth and Tears in eyesPhysical barriers
(4) Mucus coating of epithelium lining the urinogenital tract and the HCl in stomachPhysiological barriers
Correct Answer: (a)
WBCs like PMNL-neutrophils and monocytes are cellular barriers of Innate Immunity.
Q96. Which one -of the following is not a part of a transcription unit in DNA ?
Correct Answer: (a)
A transcription unit consists of a Promoter, Structural gene, and Terminator. An inducer is part of an operon system.
Q97. Which one of the following is a case of wrong matching ?
Correct Answer: (b)
Vector DNA is a vehicle for gene transfer, not a site for tRNA synthesis.
Q98. Select the correct statement regarding the specific disorder of muscular or skeletal system :-
Correct Answer: (b)
Osteoporosis is the loss of bone mineral density with age, common in postmenopausal women.
Q99. Which one of the following is not a property of cancerous cells whereas the remaining three are ?
Correct Answer: (d)
Normal cells show contact inhibition; cancer cells lose this property and grow into masses.
Q100. Monascus purpureus is a yeast used commercially in the production of :
Correct Answer: (d)
Monascus purpureus produces statins which competitively inhibit the enzyme for cholesterol synthesis.

Continue in App

For the best quiz experience and detailed performance analytics, download the Master Biology App.

Open in Play Store

Redirecting in a moment...